Formula Math Spm / Spm Add Math Formula List Pdf Document / Ha = arctan((# of starts) x pl/pdxπ)) iv.

Formula Math Spm / Spm Add Math Formula List Pdf Document / Ha = arctan((# of starts) x pl/pdxπ)) iv.. This means the question in spm trial paper may be similar to what appears in the actual spm exam. Spm add maths formula list form4 maths formulas list math. Spm add maths formula list form4 maths formulas list math. Volume of a cone 1 3 π r2h. Form 5 additional mathematics notes.

Notes and formulae mathematics spm 1. Some teacher who set spm trial paper question also involved in setting the real spm question. Ha = arctan((# of starts) x pl/pdxπ)) iv. Matematik spm masih lagi menggunakan bahasa inggeris sebagai pengantar. A a am n m n÷ = − 4.

Modern Math Formula Spm Math Formulas
Modern Math Formula Spm Math Formulas from i.ytimg.com
Try your best to memorise all (if possible) as it is wasting time flipping to the back to check the formula. Trial mrsm 2014 spm add math k1 math ads trials. Koleksi soalan percubaan matematik spm seluruh negeri.berikut adalah koleksi kertas soalan percubaan (trial papers) berserta skema jawapan untuk subjek matematik (mathematics) peperiksaan sijil pelajaran malaysia (spm) dari semua negeri bagi tahun 2018, 2019 dan 2020. 2 ( 1) n 2 n s a n d= + − 11. Maths symbols poster math vocabulary studying math teaching math. Form 4 additional mathematics notes. 2 1 n 2 n s a n d 11. Let test our iq february (1) 2008 (3) september (1) march (2)

Volume of a cone 1 3 π r2h.

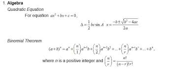
Solid geometry (a) area and perimeter triangle a = 2 1 base height = 2 1 bh trapezium a = 2 1 (sum of two parallel sides) height = 2 1 (a + b) h circle area = r2 circumference = 2 r sector area of sector = 360 r2 length of arc = 360 2 r cylinder curve surface area = 2 rh sphere. Spm additional mathematical formulae algebra 1. Try your best to memorise all (if possible) as it is wasting time flipping to the back to check the formula. Spm add maths formula list form4 maths formulas list math. Do past year questions repeatedly. Matematik spm masih lagi menggunakan bahasa inggeris sebagai pengantar. Log log loga a amn m n= + 6. I remember that add math trial paper for kl in 2010 was quite difficult so focus more on practicing actual spm papers. This is the second video from basic to advance series, please make sure you have watched the first one before you come to this video. In this video, you wi. Pa =pb (x− x)2+ (y2 2 2 Form 4 additional mathematics notes. New honda hrv 2020 malaysia price nike air force 1 white and black men nasi ayam clipart black and white nike air force 1 low pink floral nike air force 1 white red and black new puma running shoes for men nike air force 1 shadow white pink nike air force 1 low white black.

Mm = in x 25.4. This means the question in spm trial paper may be similar to what appears in the actual spm exam. 2 1 n 2 n s a n d 11. Finish all trial and past questions, and you will score. Spm mathematics (past exam papers) year 2019 (paper 2) questions 1, questions 2 & 3, questions 4 & 5, questions 6.

Perfect Maths Useful Mathematics Tutorials For Checkpoint Igcse Upsr Pt3 Spm
Perfect Maths Useful Mathematics Tutorials For Checkpoint Igcse Upsr Pt3 Spm from perfectmaths.com
Para pelajar boleh menggunakan formula di bawah untuk membantu anda menjawab soalan latihan pada laman web ini. If the formulas are incomplete, then find it at the other website leh~ hahaha xdd − f ( x), if f ( x ) < 0 object = the value of x image = the value of y or f(x) f(x) map onto itself means f(x) = x 02 quadratic equations general form. Spm add math formula list form 5. Volume of a cone 1 3 π r2h. Spm additional mathematical formulae algebra 1. A a am n m n÷ = − 4. Maths spm 2020 modul 2.pdf.

In this video, you wi.

Mm = in x 25.4. Solid geometry (a) area and perimeter triangle a = 2 1 base height = 2 1 bh trapezium a = 2 1 (sum of two parallel sides) height = 2 1 (a + b) h circle area = r2 circumference = 2 r sector area of sector = 360 r2 length of arc = 360 2 r cylinder curve surface area = 2 rh sphere. Log log loga a amn m n= + 6. Do past year questions repeatedly. Some teacher who set spm trial paper question also involved in setting the real spm question. Spm add math formula list form 5. Form 4 (update 18/9/08) 01 functions absolute value function inverse function if y = f ( x ) , then f −1 ( y ) = x f ( x ), if f ( x ) ≥ 0 f ( x) remember: Para pelajar boleh menggunakan formula di bawah untuk membantu anda menjawab soalan latihan pada laman web ini. The equation of the locus of a moving point p(x,y) which is always equidistant from two fixed points a and b is the perpendicular bisector of the straight line ab. 2 1 n 2 n s a n d 11. A a am n m n× = + 3. Spm additional mathematical formulae algebra 1. Relations and functions inverse of a function relatable.

If the formulas are incomplete, then find it at the other website leh~ hahaha xdd Solid geometry (a) area and perimeter triangle a = 2 1 base height = 2 1 bh trapezium a = 2 1 (sum of two parallel sides) height = 2 1 (a + b) h circle area = r2 circumference = 2 r sector area of sector = 360 r2 length of arc = 360 2 r cylinder curve surface area = 2 rh sphere. Log log loga a amn m n= + 6. Para pelajar boleh menggunakan formula di bawah untuk membantu anda menjawab soalan latihan pada laman web ini. The equation of the locus of a moving point p(x,y) which is always equidistant from two fixed points a and b is the perpendicular bisector of the straight line ab.

Spm Add Maths Formula List Form4 Maths Formulas List Math Math Formulas
Spm Add Maths Formula List Form4 Maths Formulas List Math Math Formulas from i.pinimg.com
Maths spm 2020 modul 2.pdf. Spm add maths formula list form4 math formulas maths formulas. Formula spm matematik tambahan yang berikut adalah formula matematik tambahan (additional mathematics) spm yang akan diberi pada peperiksaan add math spm percubaan dan sebenar. This means the question in spm trial paper may be similar to what appears in the actual spm exam. Important maths formulas gk handwritten notes pdf download − f ( x), if f ( x ) < 0 object = the value of x image = the value of y or f(x) f(x) map onto itself means f(x) = x 02 quadratic equations general form. Net spm modern mathematics formulae list for paper 1 and paper 2 relations 1. Maths spm 2020 modul 2.pdf.

Some teacher who set spm trial paper question also involved in setting the real spm question.

Important maths formulas gk handwritten notes pdf download Log log loga a amn m n= + 6. Spm add math formula list form 5. Spm add maths formula list form4 1. Para pelajar boleh menggunakan formula di bawah untuk membantu anda menjawab soalan latihan pada laman web ini. Form 4 additional mathematics notes. N 1 t arn = − 12. Ab h curved surface area of a cylinder 2π rh. Maths symbols poster math vocabulary studying math teaching math. Form 5 additional maths note math notes math arithmetic. If the formulas are incomplete, then find it at the other website leh~ hahaha xdd Nota yang sangat padat dan lengkap.terima kasih. Spm add maths formula list form4 maths formulas list math.

Related : Formula Math Spm / Spm Add Math Formula List Pdf Document / Ha = arctan((# of starts) x pl/pdxπ)) iv..